日文>英文 >返回首页025-88038157
logo

PRODUCTS
2,5-吡啶二羧酸二硫化甲脒二盐酸盐5-氨基乙酰丙酸盐酸盐 (5-ALA)吡哆醇二棕榈酸酯吡哆醇三棕榈酸酯泛影酸泛影酸钠维生素D23-氨基-1-金刚烷醇2-巯基苯并咪唑-5-磺酸钠二水合物3,5-二硝基苯甲酸3,5-二硝基苯甲酰氯3,5-二氨基苯甲酸1,4-苯醌二肟2-(4-氯苯甲酰)苯甲酸2-氯-5-硝基苯甲酰氯2-甲基-6-硝基苯胺2-(4-氯-3-硝基苯甲酰)苯甲酸2-氯-3,5-二硝基苯甲酸2-羧基-3-硝基苯甲酸乙酯3-硝基邻苯二甲酸3-硝基邻苯二甲酸酐3-硝基邻苯二甲酰亚胺3-硝基邻苯二甲腈3-硝基邻苯二甲酰胺3,5-二硝基邻甲基苯甲酸3,5-二硝基苯甲酰胺3-硝基-2-羧基苯甲酸甲酯4-甲基-3-硝基苯甲酸4-氯-3,5-二硝基苯甲酸4-甲基-3,5-二硝基苯甲酸4-硝基邻苯二甲酰亚胺4-硝基邻苯二甲腈4-硝基邻苯二甲酸酐4-硝基-N-甲基邻苯二甲酰亚胺对亚硝基酚鳄梨大豆非皂化物全氟辛酸聚丙烯酰胺交联羧甲基纤维素钠2-(3-氨基-4-氯苯甲酰)苯甲酸2-氨基-3-甲基苯甲酸2-氨基对苯二甲酸二甲酯2-甲基-4-硝基苯胺2-硝基对苯二甲酸二甲酯3,4-吡啶二羧酸3,5-二硝基苯甲酸甲酯4-甲基-3,5-二硝基苯甲酸3,5-二硝基苯甲腈3-氨基-2,4,6-三碘苯甲酸3-氨基-4-甲基苯甲酸3-氨基-4-甲基苯甲酸甲酯3-氨基邻苯二甲酰亚胺3-甲基-2-硝基苯甲酸3-甲基-2-硝基苯甲酸甲酯3-硝基-4-甲基苯甲酸3-硝基-4-甲基苯甲酸甲酯3-硝基苯丙酮3-硝基苯二甲酸酐3-硝基邻苯二甲酰肼4,6-二硝基邻甲酚:98%4,6-二硝基邻甲酚 99%4,6-二硝基邻甲酚4,6-二硝基邻甲酚4-氨基邻苯二甲酰胺4-氯-3-硝基苯甲酰氯4-硝基苯二甲酸酐4-硝基邻苯二甲酸4-硝基邻苯二甲酰亚胺5,5’-二硫-1,1’-双苯基四氮唑5-氨基-2,4,6-三碘异酞酸5-氨基-2,4,6-三碘异酞酰氯5-氨基-N-(2-羟基乙基)-2,4,6-三碘 间甲酰苯甲酸5-氨基异酞酸5-氨基异酞酸单甲酯5-氨基异酞酸二甲酯5-磺基间苯二甲酸5-硝基异酞酸5-硝基异酞酸单甲酯5-硝基异酞酸二甲酯5-溴异酞酸N-丁基-4-硝基邻苯二甲酰亚胺N-甲基-4-氨基邻苯二甲酰亚胺N-甲基-4-硝基邻苯二甲酰亚胺对亚硝基酚鲁米诺硼酸苯汞葡萄糖二酸钾乙烯硫脲盐酸阿比朵尔帕潘立酮帕潘立酮中间体阿米舒必利阿米酸甲酯阿米酸3-乙炔苯胺3-乙炔基苯胺盐酸盐茚达特罗及其中间体新利司他阿比朵尔中间体五氟立班丝氨美卡比酯阿伐那非2-氨基甲基嘧啶盐酸盐2-甲氧基-4-氨基-5-乙硫基苯甲酸2,4-二丁氧基苯甲醛4-己氧基-2-羟基苯甲醛2,5-吡啶-二羧酸二甲酯3-硝基-2-羧基苯甲酸甲酯对羟基苯乙酸对羟基苯乙酰胺4-(环氧乙基甲氧基)苯乙酰胺
  Your current location>Home>产品中心
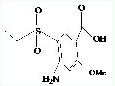
阿米酸

CAS No. 71675-87-1 

EINECS No. 275-833-8

别名 4-Amino-5-(ethylsulphonyl)-o-anisic acid 
分子式:C10H13NO5S 
分子量:259.28

结构式:


Back
关于我们    |    产品中心    |    新闻中心    |    R&D    |    荣誉资质    |    联系我们
Copyright 久八生物科技(江苏)有限公司